Premium Only Content

MES Math Q/A 38: What is a Faraday Cage?
If you have math related questions, I may have answers.
October 1, 2025 Wednesday at 10:00 AM PST
#math #science #electromagnetism #HutchisonEffect #technology
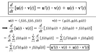
- Summary: SOON
- Hutchison Effect playlist: https://www.youtube.com/playlist?list=PLai3U8-WIK0GlfVj5AYNtbF688pr8fk9X
- MES Math Q/A playlist: https://www.youtube.com/playlist?list=PLai3U8-WIK0F1GgkU63uA9NIncxDS2q0-
- All Streams: https://www.youtube.com/@mes/streams .
------------------------------------------------------
Become a MES Super Fan! https://www.youtube.com/channel/UCUUBq1GPBvvGNz7dpgO14Ow/join
DONATE! ʕ •ᴥ•ʔ https://mes.fm/donate
SUBSCRIBE via EMAIL: https://mes.fm/subscribe
MES Links: https://mes.fm/links
MES Truth: https://mes.fm/truth
Official Website: https://MES.fm
Hive: https://peakd.com/@mes
Email me: [email protected]
Free Calculators: https://mes.fm/calculators
BMI Calculator: https://bmicalculator.mes.fm
Grade Calculator: https://gradecalculator.mes.fm
Mortgage Calculator: https://mortgagecalculator.mes.fm
Percentage Calculator: https://percentagecalculator.mes.fm
Free Online Tools: https://mes.fm/tools
iPhone and Android Apps: https://mes.fm/mobile-apps
This stream is created with #PRISMLiveStudio
-
2:19:54
Math Easy Solutions
9 days agoMES Math Q/A 37: What is Vortex Math?
1891 -
1:47:22
iCkEdMeL
2 hours ago $0.08 earnedFlag Burning, Antifa & Arrest: Journalist Nick Sortor Detained in Portland Chaos
1365 -
LIVE
SpartakusLIVE
1 hour ago#1 All-American HERO with LUSCIOUS hair and AVERAGE forehead brings Friday Night HYPE
465 watching -
1:39:27
Roseanne Barr
4 hours agoThe Dragon’s Prophecy W/ Dinesh D’Souza | The Roseanne Barr Podcast #118
99.3K41 -
28:24
Michael Franzese
3 hours agoHow Jewish Mafia Influenced American Organized Crime
25.9K23 -
LIVE
GritsGG
2 hours agoDuos! Most Wins in WORLD! 3680+!
45 watching -
LIVE
Midnight In The Mountainsâ„¢
57 minutes agoActive Matter Game Play | Gaming w/ PER·SE·VER·ANCE | with Midnight & Lady
42 watching -
5:08:55
Dr Disrespect
7 hours ago🔴LIVE - DR DISRESPECT - BABY STEPS - THE VERY VERY LAST CHAPTER
99.5K11 -
DVR
StoneMountain64
5 hours agoBLACK OPS 7 Unlocking Weapons and Overclocks (Mouse and Keyboard Player)
47K2 -
3:59:10
ahdedazs
5 hours ago $1.06 earnedBlack Ops 7 EARLY ACCESS BETA! Second Stream on RUMBLE! *NEW CREATOR*
38.6K1