Premium Only Content

Proof of Formula 4: Derivative of Dot Product of Vector Functions
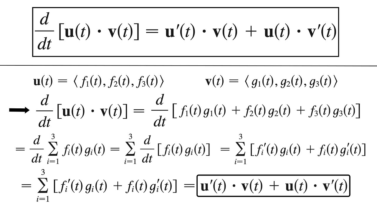
In this video I derive the 4th differentiation rule for vector functions, which involves taking the derivative of the dot product between two vector functions and yields a similar result as the normal product rule for real-valued functions. I prove this by first expanding the dot product and writing it as a finite sum. Then, by applying summation rules and taking the corresponding product rule for real-valued functions of the summation series, we obtain our proof!
#math #science #calculus #vectors #dotproduct
Timestamps:
- Proof of Formula 4: Expanding the dot product: 0:00
- Writing the dot product as a summation and applying the ordinary product rule: 1:54
- Dot product becomes the product rule of each term in the summation: 4:06
- Splitting into two summation equals Formula 4: 5:24
Notes and playlists:
- Summary: https://inleo.io/threads/view/mes/re-leothreads-36z2oxys7
- Notes: https://peakd.com/hive-128780/@mes/hfsetrue
- Sections playlist: https://www.youtube.com/playlist?list=PLai3U8-WIK0FgQ3jBd9IFaWOakOWbHous
- Vector Functions playlist: https://www.youtube.com/playlist?list=PLai3U8-WIK0FgQ3jBd9IFaWOakOWbHous .
------------------------------------------------------
Become a MES Super Fan! https://www.youtube.com/channel/UCUUBq1GPBvvGNz7dpgO14Ow/join
DONATE! ʕ •ᴥ•ʔ https://mes.fm/donate
SUBSCRIBE via EMAIL: https://mes.fm/subscribe
MES Links: https://mes.fm/links
MES Truth: https://mes.fm/truth
Official Website: https://MES.fm
Hive: https://peakd.com/@mes
Email me: [email protected]
Free Calculators: https://mes.fm/calculators
BMI Calculator: https://bmicalculator.mes.fm
Grade Calculator: https://gradecalculator.mes.fm
Mortgage Calculator: https://mortgagecalculator.mes.fm
Percentage Calculator: https://percentagecalculator.mes.fm
Free Online Tools: https://mes.fm/tools
iPhone and Android Apps: https://mes.fm/mobile-apps
-
2:49:19
Math Easy Solutions
6 days ago $0.40 earnedMES Livestream 110: Charlie Kirk Assassination Deep Dive
5482 -
LIVE
SpartakusLIVE
4 hours ago#1 All-American HERO with LUSCIOUS hair and AVERAGE forehead brings Friday Night HYPE
348 watching -
LIVE
Laura Loomer
2 hours agoEP147: Islamic Terror EXPLODES In The West After UK Synagogue Attack
980 watching -
LIVE
Flyover Conservatives
7 hours agoEric Trump: America’s Most Subpoenaed Man SPEAKS OUT! | FOC Show
695 watching -
LIVE
PandaSub2000
1 day agoLIVE 10/3 @10pm ET | SUPER MARIO GALAXY 1 & 2 on SWITCH 2
120 watching -
1:26:04
Glenn Greenwald
6 hours agoJournalist Ken Klippenstein on Trump's New Domestic Terrorism Memo; Glenn Takes Your Questions on Bari Weiss's CBS Role, His Interview with Nick Fuentes, and More | SYSTEM UPDATE #526
57.2K38 -
LIVE
SynthTrax & DJ Cheezus Livestreams
2 days agoFriday Night Synthwave 80s 90s Electronica and more DJ MIX Livestream GOTH NIGHT Special Edition
244 watching -
DVR
Mally_Mouse
5 days agoFriend Friday!! 🎉 - Let's Play! - Lockdown Protocol
20.1K -
LIVE
MissesMaam
2 hours ago*Spicy* Friend Friday LOCKDOWN Protocol!!! :: SpookTober 💚✨
115 watching -
41:36
MattMorseTV
4 hours ago $7.29 earned🔴Portland just made a BIG MISTAKE.🔴
33.7K60