Premium Only Content
							This video is only available to Rumble Premium subscribers. Subscribe to
							enjoy exclusive content and ad-free viewing.
					
								 
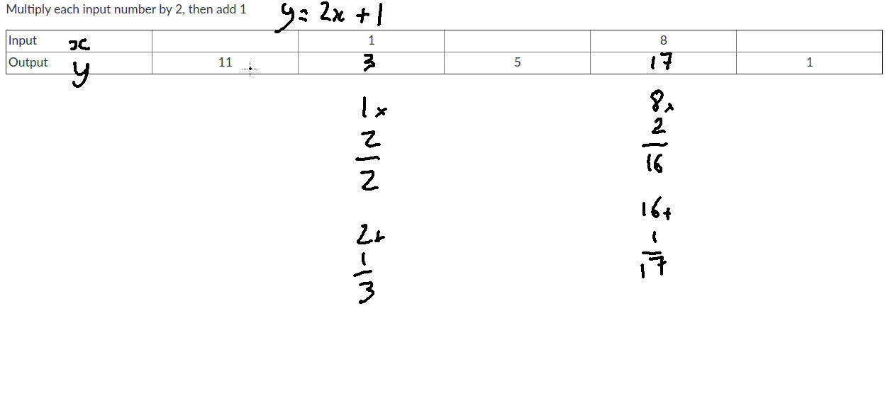
			Input-Output tables; multiply by two then add 1, some missing inputs
Loading  comments...				
			
		- 	
				 13:42 13:42Nate The Lawyer17 hours ago $0.38 earnedINSANE Judge REMOVED For Lying Under Oath, Insurance Fraud & Stolen Valor3606
- 	
				 38:32 38:32Code Blue Cam1 day agoHow Police Stopped a Potential Church Massacre...26.4K7
- 	
				 24:26 24:26Actual Justice Warrior1 day agoWelfare Queens RAGE OUT Over Food Stamp Cuts8.03K28
- 	
				 3:05:11 3:05:11Inverted World Live8 hours agoThe Halloween Special with Drea De Matteo and Sam Tripoli | Ep. 133352K14
- 	
				 2:57:52 2:57:52Laura Loomer11 hours agoEP154: Naturalized US Navy Medic From GAZA Exposed For Ties To Hamas41.8K28
- 	
				 35:45 35:45Stephen Gardner14 hours ago🔴BREAKING: Election Auditor EXPOSES Democrat Election Fraud Evidence!44.1K61
- 	
				 15:48 15:48Sponsored By Jesus Podcast18 hours agoHow to Stop Being JEALOUS | When Comparison Steals Your Joy15.7K11
- 	
				 3:56:59 3:56:59DLDAfterDark9 hours ago $12.74 earnedDon't Worry - Things Will Get SO Much Worse! Sometimes It Be Like That32K7
- 	
				 25:41 25:41Robbi On The Record14 hours ago $3.81 earnedThe Billion-Dollar Lie Behind OnlyFans “Empowerment” (Her Testimony Will Shock You) | part II20.7K12
- 	
				 12:22 12:22Cash Jordan6 hours ago"CHICAGO MOB" Fights Back... "ZERO MERCY" Marines DEFY Judge, SMASH ILLEGALS39.6K50