Premium Only Content
This video is only available to Rumble Premium subscribers. Subscribe to
enjoy exclusive content and ad-free viewing.
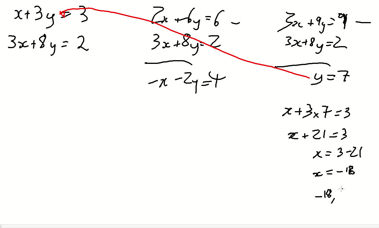
Simultaneous Equations, elimination; x+3y=3 & 3x+8y=2
Loading comments...
-
2:38:39
PandaSub2000
1 day agoNintendo DS Night | ULTRA BEST AT GAMES (Original Live Version)
21.5K15 -
4:05:07
Alex Zedra
5 hours agoLIVE! Battlefield RecSec
27.9K7 -
1:26:50
The Quartering
6 hours agoErika Kirk Threatened, SNAP Riots Near, & New AstroTurfed Woke Lib Influencer
52K24 -
29:24
Glenn Greenwald
8 hours agoSen. Rand Paul on Venezuela Regime Change, the New War on Drugs, MAGA Rifts, and Attacks from Trump | SYSTEM UPDATE #539
122K112 -
1:45:39
Badlands Media
19 hours agoAltered State S4 Ep. 3: EBT Riots, Shutdown Chaos & The Left’s Cannibalistic Meltdown
57.1K34 -
2:07:35
This is the Ray Gaming
4 hours ago $0.43 earnedRedacted Sector Day 2 | Rumble Premium Creator
18.1K8 -
4:23:15
SOLTEKGG
5 hours ago🔴LIVE - 30 + Kill Battle Royale - BF6 Giveaway
11.1K8 -
5:21:51
StevieTLIVE
6 hours ago[9 WINS] Battlefield 6 BR GRIND
7.33K3 -
9:38:45
Dr Disrespect
15 hours ago🔴LIVE - DR DISRESPECT - BATTLEFIELD 6 - REDSEC DUOS - WIN WIN WIN
119K15 -
23:38
ArynneWexler
14 hours agoAOC vs Riley Gaines The Twitter War | NN7
18.7K7