Premium Only Content
This video is only available to Rumble Premium subscribers. Subscribe to
enjoy exclusive content and ad-free viewing.
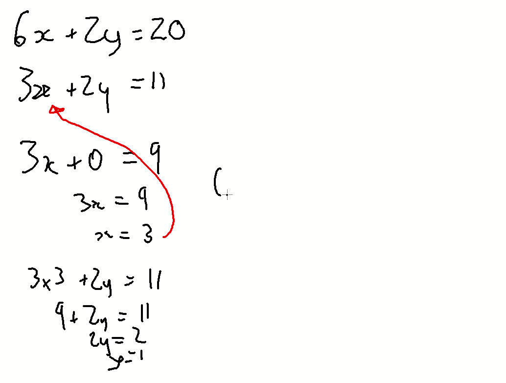
Simultaneous Equations, elimination: 6x+2y=20 & 3x+2y=11
Loading comments...
-
4:24
RobertPrestwidge
4 years agoMath 3 Simultaneous Equations 01 Elimination Method
91 -
6:48
RobertPrestwidge
4 years agoMath 2 Simultaneous Equations 03 Elimination With More Negatives
42 -
8:12
RobertPrestwidge
4 years agoMath 2 Simultaneous Equations 02 Elimination A little bit harder Math
85 -
9:15
RobertPrestwidge
4 years agoMath 2 Simultaneous Equations 01 Introduction to the Elimination Method Math
74 -
8:02
RobertPrestwidge
4 years agoMath 3 Simultaneous Equations 03 Tricky Cases
78 -
13:10
Algebra Lectures
4 years agoMath62_MAlbert_5.3_Solve systems of equations by elimination
17 -
4:54
RobertPrestwidge
4 years agoMath 3 Simultaneous Equations 02 Using Augmented Matrices
57 -
6:36
RobertPrestwidge
4 years agoMath 2 Simultaneous Equations 04 With Rearranging First
471 -
7:56
High School Math
4 years agoGraphing linear equations
76 -
7:17
High School Math
4 years agoSolving Radical equations
66