Premium Only Content
This video is only available to Rumble Premium subscribers. Subscribe to
enjoy exclusive content and ad-free viewing.
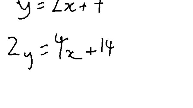
Double This Equation y = 2x+7
Loading comments...
-
0:22
JB Baseball 11u
4 years agoJb double
1531 -
0:10
Groveey
4 years ago# 2 Double rainbow
57 -
2:17
EntertainmentVideos
4 years agoDouble Game
81 -
1:33
Oriental Magic Illusion
4 years ago $0.23 earnedDouble Vertical Sawing
7671 -
0:26
macgym
4 years agoDouble Stick
64 -
7:09
Learn To Crochet
4 years agoCriss-cross double crochet
553 -
3:52
307 Gaming
4 years agoDouble Keg
10 -
0:58
Drockton5
4 years ago375 x 8 deadlift double overhand
94 -
11:18
Rethinking the Dollar
14 hours ago9 Signs the US Economy Is Quietly Collapsing
18K14 -
1:01:44
BonginoReport
9 hours agoHalf Naked Trucker Nabbed In Traffic Stop - Nightly Scroll w/ Hayley Caronia (Ep.166)
130K115