Premium Only Content
This video is only available to Rumble Premium subscribers. Subscribe to
enjoy exclusive content and ad-free viewing.
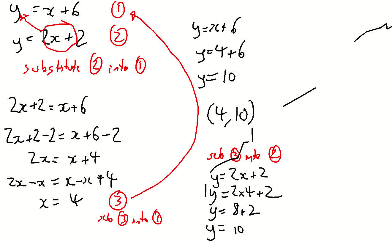
Solving Simultaneous Equations by substitution y=x+6 y=2x+2
Loading comments...
-
LIVE
Lofi Girl
3 years agolofi hip hop radio 📚 - beats to relax/study to
104 watching -
25:03
GritsGG
13 hours agoHow to Obtain Warzone VICTORY From a TREE! Casual Solo Gameplay!
11.4K3 -
2:48:05
FreshandFit
9 hours agoGhetto Fake Russian Disrespected The Entire Panel & THIS Happened...
239K152 -
1:27:57
Tucker Carlson
6 hours agoTucker and Col. MacGregor Warn How Neocons Are Exploiting the Drug Crisis to Drag America Into War
39.3K95 -
2:08:50
Badlands Media
11 hours agoDevolution Power Hour Ep. 402: Arctic Frost, Trump’s Third Term & The G2 Showdown
92.7K55 -
2:05:48
Inverted World Live
10 hours agoUFO Seen Over Tokyo During Trump Visit | Ep. 132
66.3K20 -
2:54:08
TimcastIRL
8 hours agoDemocrat FEDERALLY INDICTED For Obstructing ICE Agents In Chicago | Timcast IRL
225K109 -
7:17:25
SpartakusLIVE
10 hours agoNEW - REDSEC Battle Royale || The Duke of Nuke CONQUERS ALL
52.7K9 -
2:38:39
PandaSub2000
1 day agoNintendo DS Night | ULTRA BEST AT GAMES (Original Live Version)
31.9K24 -
4:05:07
Alex Zedra
7 hours agoLIVE! Battlefield RecSec
36K9