Premium Only Content
Exercise 5: Proof of Formula 6: Chain Rule for Vector Functions
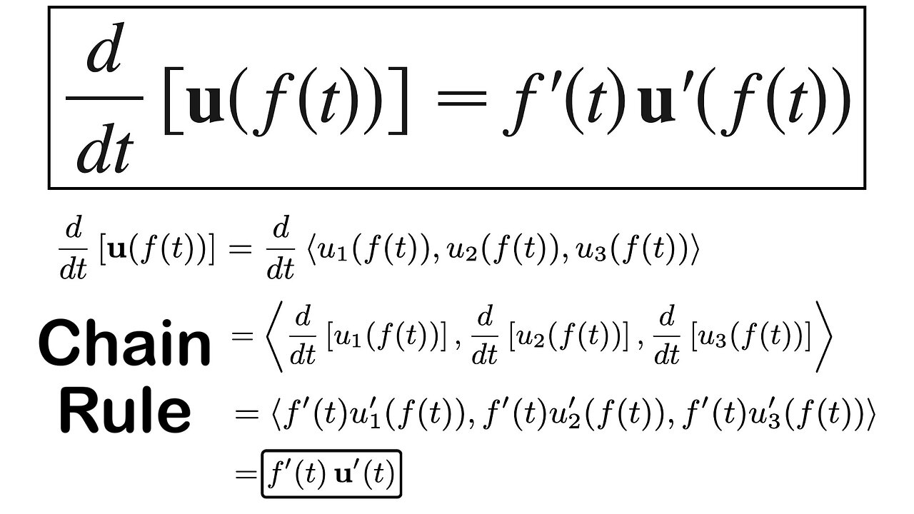
In this video I prove Formula 6 of the differentiation rules for vector functions and this time show that the derivative of a vector function whose parameter is a real valued function results in a counterpart of the chain rule. In other words, the derivative of the vector functions in terms of the parameter t becomes the derivative of the real-valued function in terms of the parameter t multiplied by the derivative vector function in terms of the parameter f(t).
#math #vectors #calculus #chainrule #education
Timestamps:
- Exercise 5: Proof of Formula 6: Derivative of a Function within a Vector Function: 0:00
- Solution: Taking derivative of components: 1:05
- Applying chain rule for each component: 2:54
- Factor out the real-valued function: 3:46
- We obtain our chain rule for vector functions: 4:21
Notes and playlists:
- Summary: https://inleo.io/threads/view/mes/re-leothreads-2yynuofgg
- Notes: https://peakd.com/hive-128780/@mes/hfsetrue
- Sections playlist: https://www.youtube.com/playlist?list=PLai3U8-WIK0FgQ3jBd9IFaWOakOWbHous
- Vector Functions playlist: https://www.youtube.com/playlist?list=PLai3U8-WIK0FgQ3jBd9IFaWOakOWbHous .
------------------------------------------------------
Become a MES Super Fan! https://www.youtube.com/channel/UCUUBq1GPBvvGNz7dpgO14Ow/join
DONATE! ʕ •ᴥ•ʔ https://mes.fm/donate
SUBSCRIBE via EMAIL: https://mes.fm/subscribe
MES Links: https://mes.fm/links
MES Truth: https://mes.fm/truth
Official Website: https://MES.fm
Hive: https://peakd.com/@mes
Email me: [email protected]
Free Calculators: https://mes.fm/calculators
BMI Calculator: https://bmicalculator.mes.fm
Grade Calculator: https://gradecalculator.mes.fm
Mortgage Calculator: https://mortgagecalculator.mes.fm
Percentage Calculator: https://percentagecalculator.mes.fm
Free Online Tools: https://mes.fm/tools
iPhone and Android Apps: https://mes.fm/mobile-apps
-
1:59
Math Easy Solutions
5 days ago3D Printed Models of the WTC and LiDAR Data
1661 -
LIVE
TheCrucible
15 minutes agoThe Extravaganza! EP: 61 with Guest Co-Host: Rob Noerr (10/28/25)
8,303 watching -
LIVE
Kim Iversen
1 hour agoNick Fuentes & Tucker Carlson SQUASH Their ‘Fed’ Beef!
443 watching -
LIVE
Michael Franzese
30 minutes agoThe Real Donnie Brasco: REVEALS Why Joe Pistone Stole His Name
244 watching -
UPCOMING
Candace Show Podcast
31 minutes agoCharlie Ripped A Hole In Reality | Candace Ep 253
3 -
LIVE
Redacted News
1 hour agoWhat are they hiding? New evidence in Charlie Kirk’s shooting shakes up the case | Redacted
11,761 watching -
1:08:20
vivafrei
4 hours agoDoug Ford's Tour of Shame! Ed Markey's Self Own! Biden's Autopen Scandal is BAD! AND MORE!
86.8K16 -
LIVE
Dr Disrespect
8 hours ago🔴LIVE - DR DISRESPECT - BATTLEFIELD 6 - REDSEC LAUNCH - BATTLE ROYALE
1,836 watching -
1:08:34
DeVory Darkins
4 hours agoDHS announces Major SHAKE UP as Air Traffic Controllers drop ULTIMATUM for Congress
134K93 -
LIVE
StoneMountain64
7 hours agoBattlefield REDSEC Battle Royale GAMEPLAY & 1st Impressions (Free to Play LAUNCH DAY)
123 watching