Premium Only Content
Exercise 4: Proof of Formula 5: Derivative of Cross Product of Vector Functions via Definition
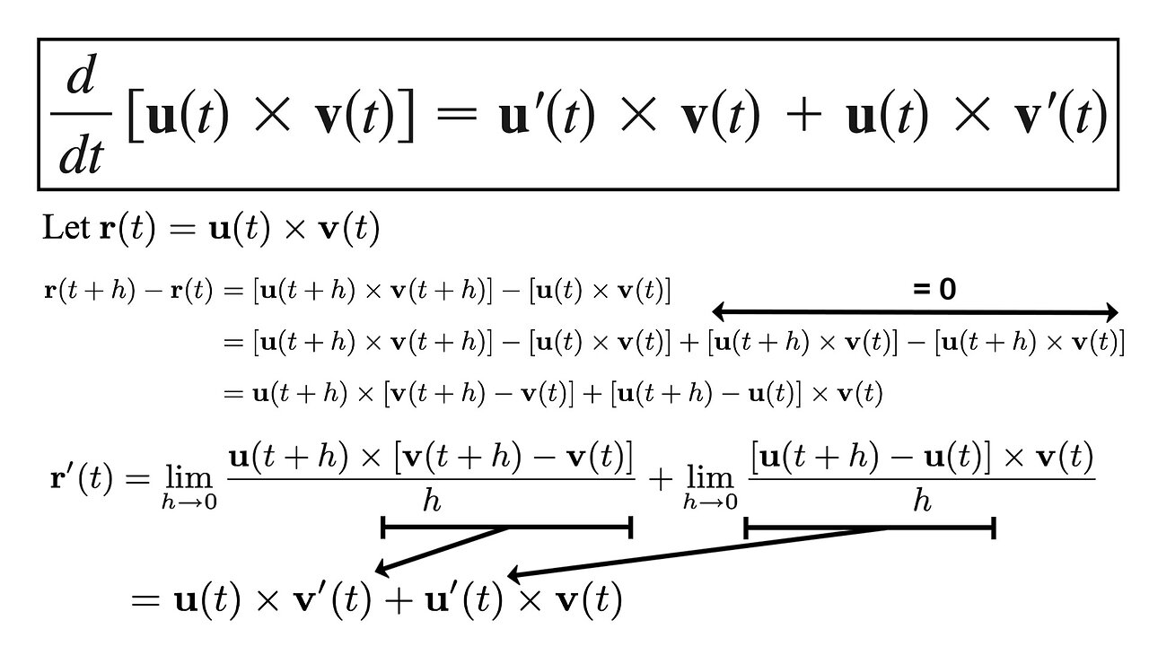
In this video I once again prove Formula 5 of the Differentiation Rules for Vector Functions but this time obtain the derivative of the cross product of vector functions via the definition of derivative. The key for this derivation is to manipulate the numerator of the definition to obtain two limits, which I show are the corresponding derivatives for u and v vector functions. Compare this derivation with my earlier one using the brute force derivative of the components of the cross product. Both obtain the same result!
#math #vectors #calculus #crossproduct #education
Timestamps:
- Exercise 4: Proof of Formula 5: Derivative of Cross Product: 0:00
- Solution 2: Definition of Derivative of Vector Functions: 0:40
- Recap on properties of the cross product: 1:15
- Apply the definition for our cross product: 2:38
- Add and subtract terms to not change the equation so we can factor out like terms: 3:55
- Dividing by h and taking the limit to obtain the definition of derivative: 8:10
- Separate to obtain two definitions of derivatives: 10:17
- Identifying the definition of derivatives obtains our result: 12:15
- Recall the properties of vector function limits: 13:18
Notes and playlists:
- Summary: https://inleo.io/threads/view/mes/re-leothreads-2imxttrfw
- Notes: https://peakd.com/hive-128780/@mes/hfsetrue
- Sections playlist: https://www.youtube.com/playlist?list=PLai3U8-WIK0FgQ3jBd9IFaWOakOWbHous
- Vector Functions playlist: https://www.youtube.com/playlist?list=PLai3U8-WIK0FgQ3jBd9IFaWOakOWbHous .
------------------------------------------------------
Become a MES Super Fan! https://www.youtube.com/channel/UCUUBq1GPBvvGNz7dpgO14Ow/join
DONATE! ʕ •ᴥ•ʔ https://mes.fm/donate
SUBSCRIBE via EMAIL: https://mes.fm/subscribe
MES Links: https://mes.fm/links
MES Truth: https://mes.fm/truth
Official Website: https://MES.fm
Hive: https://peakd.com/@mes
Email me: [email protected]
Free Calculators: https://mes.fm/calculators
BMI Calculator: https://bmicalculator.mes.fm
Grade Calculator: https://gradecalculator.mes.fm
Mortgage Calculator: https://mortgagecalculator.mes.fm
Percentage Calculator: https://percentagecalculator.mes.fm
Free Online Tools: https://mes.fm/tools
iPhone and Android Apps: https://mes.fm/mobile-apps
-
2:14:26
Math Easy Solutions
11 days ago $0.03 earnedMES Math Q/A 40: How was Coral Castle Built?
2231 -
25:57
The Kevin Trudeau Show Limitless
4 days agoThe Sound Of Control: This Is How They Program You
83.2K27 -
LIVE
GritsGG
6 hours agoQuads Win Streak Record Attempt 28/71 ! Top 70! Most Wins in WORLD! 3744+!
160 watching -
LIVE
Astral Doge Plays!
4 hours agoLuigi's Mansion 2 ~LIVE!~ Haunted Towers
58 watching -
37:00
Tactical Advisor
3 hours agoNew Budget Honeybadger/Glock Discontinues All Models | Vault Room Live Stream 043
84.7K5 -
LIVE
TheItalianCEO
5 hours agoLast stream before Dreamhack
98 watching -
LIVE
Cripiechuccles
2 hours ago😁18+💚💙SUNDAY FUNDAY WITH CRIPIE💚RUMLUV💙👌SMOKING, GAMING & WATCHING FLICKS!:😁
31 watching -
LIVE
DoldrumDan
2 hours agoSACRED SEKIRO DAY 6 FIRST PLAYTHROUGH - DAY 24 NEW LIFE
22 watching -
LIVE
Total Horse Channel
7 hours ago2025 IRCHA Derby & Horse Show - October 26th
82 watching -
4:23:33
BBQPenguin_
7 hours agoBattlefield 6 - Battle Royale Waiting Room
20.5K