Premium Only Content
This video is only available to Rumble Premium subscribers. Subscribe to
enjoy exclusive content and ad-free viewing.
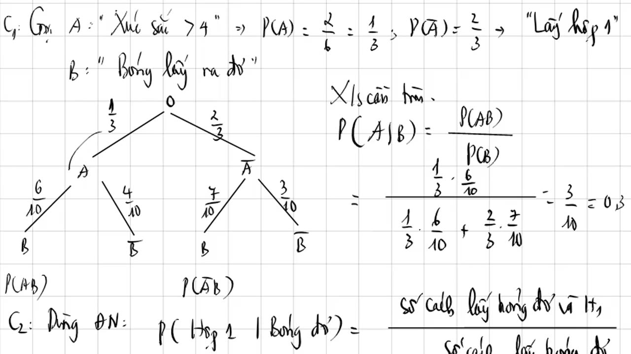
Có hai chiếc hộp, hộp I có 6 quả bóng màu đỏ và 4 quả bóng màu vàng, hộp 2 có 7 bóng đỏ, 3 bóng vàng
6 months ago
72
Có hai chiếc hộp, hộp I có 6 quả bóng màu đỏ và 4 quả bóng màu vàng, hộp 2 có 7 bóng đỏ, 3 bóng vàng. Ta tung một con xúc sắc cân đối và đồng chất, nếu mặt xúc sắc thu được có số chấm lớn hơn 4 thì chọn hộp 1, ngược lại chọn hộp 2. Sau đó, lấy ra ngẫu nhiên một quả bóng từ hộp được chọn. Tính xác suất quả bóng lấy ra từ hộp 1 biết rằng bóng lấy ra là bóng đỏ.
Loading comments...
-
LIVE
vivafrei
1 hour agoCFIA Goes After a REFUGE? Charlie Kirk Missing Evidence "Uncovered"? Democrats are Epostein Simps!
5,938 watching -
1:44:33
The Quartering
2 hours agoTrump Calls For Hangings, McDonalds SNAP Controversy, The Demonic Relationship In Wicked & More
99.2K39 -
21:40
Bitcoin Policy Institute
4 hours agoCongressman Warren Davidson Unveils the “Bitcoin for America Act” | Spotlight Series #1
12 -
1:25:51
DeVory Darkins
3 hours agoDemocrats caught in corruption scheme as JD Vance issues MAJOR UPDATE
113K54 -
1:48:48
MattMorseTV
4 hours ago $28.34 earned🔴Sedition Charges INBOUND.🔴WH Press Conference.🔴
36.9K107 -
9:06
Jamesons Travels
19 hours ago $1.89 earnedMilitary Veterans in Congress Tell Troops to Refuse Trump's Orders
6.67K28 -
LIVE
The Bold Lib
1 hour agoBOLDCHAT: Unemployment | AI | Birth Rates w/ANGELA BELCAMINO
56 watching -
20:34
ArynneWexler
6 hours agoNew Poll: Women Are Done With America | NN8
3.75K15 -
59:30
The White House
4 hours agoPress Secretary Karoline Leavitt Briefs Members of the Media, Nov. 20, 2025
38.2K27 -
2:06:37
Steven Crowder
6 hours agoJasmine Crockett's Epstein Idiocy & the Absolute State of the Democrat Party
513K341