Premium Only Content
This video is only available to Rumble Premium subscribers. Subscribe to
enjoy exclusive content and ad-free viewing.

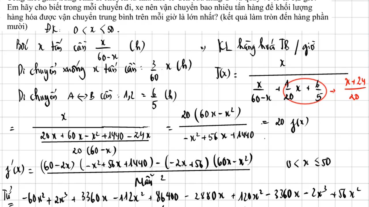
Công ty X cần vận chuyển một lượng lớn hàng hóa từ nhà kho A đến cửa hàng B, lượng hàng hóa chia
5 months ago
11
Công ty X cần vận chuyển một lượng lớn hàng hóa từ nhà kho đến cửa hàng , lượng hàng hóa chia ra thành nhiều chuyến đi bằng một xe tải có tải trọng tối đa là 50 tấn. Công ty cần tính toán để tối ưu hóa tốc độ vận chuyển hàng hoá của xe.
Biết rằng để bốc xếp tấn hàng từ nhà kho lên xe cần thời gian giờ;
Sau khi xe đến , để di chuyển mỗi tấn hàng từ xe xuống cửa hàng cần thời gian 3 phút.
Tổng thời gian trung bình di chuyển từ nhà kho đến cửa hàng và quay về là 1,2 giờ.
Em hãy cho biết trong mỗi chuyến đi, xe nên vận chuyển bao nhiêu tấn hàng để khối lượng hàng hóa được vận chuyển trung bình trên mỗi giờ là lớn nhất? (kết quả làm tròn đến hàng phần mười)
Loading comments...
-
LIVE
StoneMountain64
1 hour agoBattlefield 6 Sniping and Unlocking SNIPERS from LONG RANGE
67 watching -
LIVE
Side Scrollers Podcast
3 hours agoHasan CAUGHT Red Handed + Hogwarts Legacy 2 “Boycott” + Arbys SUED + More | Side Scrollers
1,296 watching -
1:08:02
Timcast
2 hours agoTrump DOJ DEFIES THE COURTS, Tear Gasses Anti Ice Rioters, Civil War Fears Escalate
124K121 -
LIVE
Viss
5 hours ago🔴LIVE - Give Us The Battlefield 6 Battle Royale! - BF6 & PUBG
73 watching -
19:37
Welker Farms
17 days ago $0.06 earnedTraining Up the NEXT Generation of Farmers - Faith, Family, & Farming!
2.71K1 -
2:29:00
Steven Crowder
5 hours agoTrump is Winning so Big Even The Left Can't Deny It: Featuring Jason Calacanis of the All In Podcast
351K373 -
56:22
TheAlecLaceShow
2 hours agoTrump Signs Historic Peace Deal | Hostages Released | Guests: Matt Schlapp | The Alec Lace Show
14.1K -
1:03:00
The Rubin Report
3 hours agoObama Can’t Hide His Bitterness at Trump After Middle East Peace Deal
42.6K67 -
1:36:03
The Mel K Show
3 hours agoMORNINGS WITH MEL K - Charting a New Path & Ending Endless Wars - 10-14-25
31.8K1 -
2:25:11
The Shannon Joy Show
3 hours agoTrump Declares Peace In The Middle East But A Wartime Economy Emerges. LIVE W/ Analyst Jack Gamble
25K6