Premium Only Content
This video is only available to Rumble Premium subscribers. Subscribe to
enjoy exclusive content and ad-free viewing.

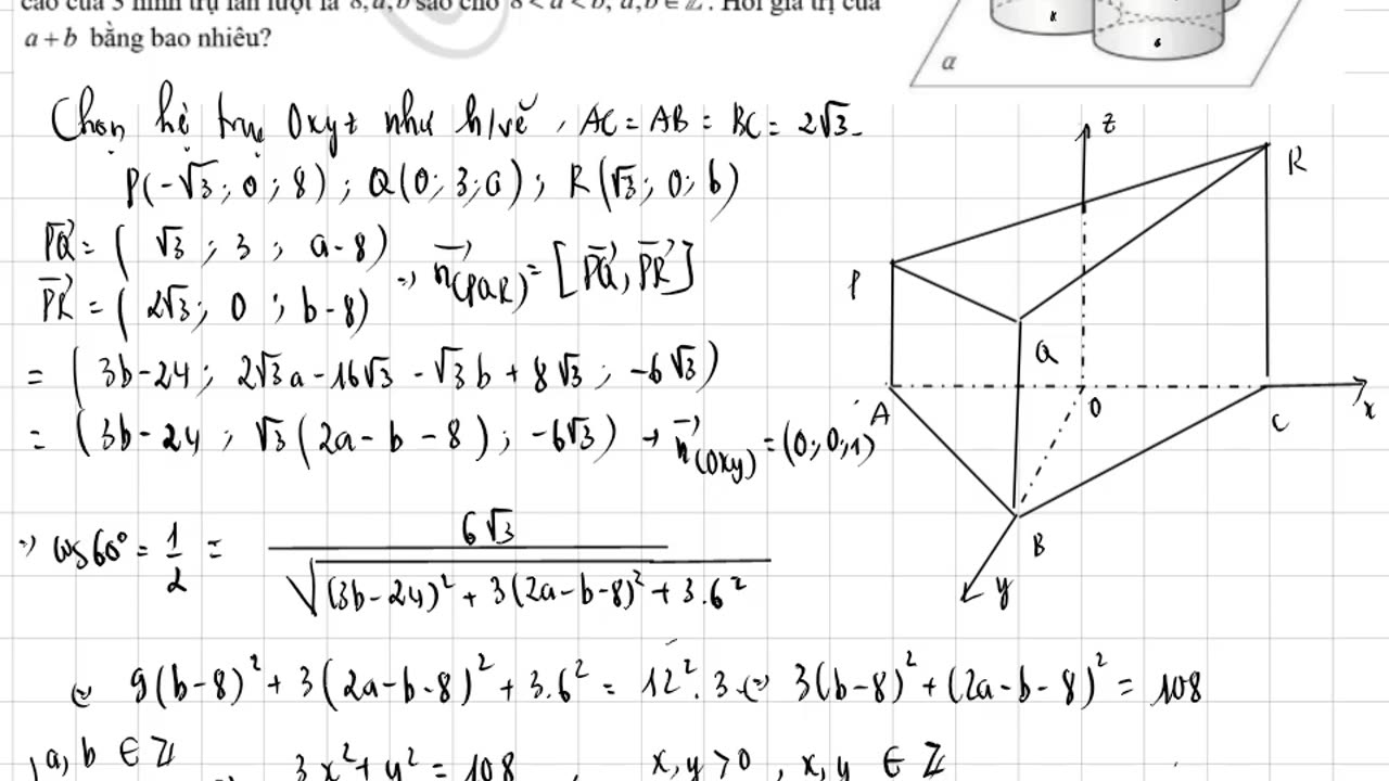
Hình vẽ minh họa ba hình trụ có cùng bán kính đáy và các chiều cao khác nhau...
5 months ago
3
Hình vẽ minh họa ba hình trụ có cùng bán kính đáy và các chiều cao khác nhau, tiếp xúc ngoài với nhau và được đặt trên cùng một mặt phẳng . Gọi lần lượt là tâm của ba mặt tròn không tiếp xúc với (tức là ba đáy trên của ba hình trụ đó).
Biết mặt phẳng tạo với mặt phẳng một góc bằng 600. Gọi chiều cao của 3 hình trụ lần lượt là sao cho . Hỏi giá trị của bằng bao nhiêu?
Loading comments...
-
43:06
House Republicans
1 hour agoHouse Republicans Leadership Stakeout
2.99K -
16:25
marcushouse
3 hours ago $0.63 earnedSpaceX Starship Flight 11 Launch EXPLAINED! 🚀🔥
15K9 -
1:03:54
Chad Prather
17 hours agoThe Gospel That Can’t Save You: Exposing the Lie of Self-Help Christianity
56.5K27 -
30:40
Tucker Carlson
15 hours agoThe 9/11 Files: From Cover-up to Conspiracy | Ep 4
86.5K63 -
1:57:37
The Chris Salcedo Show
14 hours ago $6.12 earnedAfter What They've Done, Mockery Is The Best They Deserve
40.6K2 -
2:57:12
TimcastIRL
15 hours agoDems SHUTDOWN Government For NO KINGS Insurrection, Block Police Pay | Timcast IRL
556K186 -
12:35
Adam Something
4 days agoTesla Cybertruck: A Tragedy On Four Wheels
36.6K23 -
8:22
Silver Dragons
21 hours agoAre Silver Rounds Really the BEST SILVER to Stack Right Now?
26.8K11 -
19:52
Neil McCoy-Ward
22 hours ago🚨 The Global Financial Collapse May Have Already Started 🔥
30.6K6 -
2:02:14
BEK TV
1 day agoTrent Loos in the Morning - 10/14/2025
27.9K1