Premium Only Content
This video is only available to Rumble Premium subscribers. Subscribe to
enjoy exclusive content and ad-free viewing.
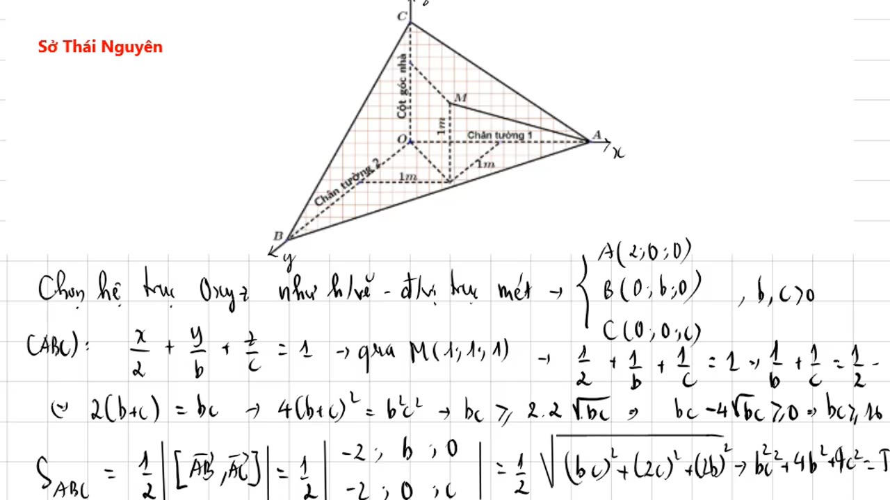
Trong quá trình ông An xây nhà thì phải đổ bê tông cho một mái vát để lợp ngói. Ông tính toán việc
6 months ago
3
Trong quá trình ông An xây nhà thì phải đổ bê tông cho một mái vát để lợp ngói. Ông tính toán việc ghép cốt pha đi qua điểm B trên một chân tường và điểm C trên cột góc nhà và tận dụng một chiếc cột có sẵn cách đều hai bức tường 1m và chiều cao 1m (đỉnh cột là điểm M)
Loading comments...
-
1:37:16
omarelattar
21 hours agoEx-Mafia Boss: I Made $8 Million Every Week Until The FBI Destroyed My Life! What I Learned...
17.8K1 -
16:18
Actual Justice Warrior
13 hours agoJasmine Crockett DESTROYED For Epstein Lies
2.01K13 -
38:25
Coin Stories with Natalie Brunell
18 hours agoBlackRock's Robbie Mitchnick on Bitcoin ETF Inflows, Risk-On vs Risk-Off & Digital Gold's Future
11K4 -
15:56
itsSeanDaniel
2 days agoMarjorie Taylor Greene Finally WENT TOO FAR (Career Over?)
16.8K39 -
17:41
Nikko Ortiz
14 hours agoDropping A School Shooter In VR...
12K3 -
1:47:50
Side Scrollers Podcast
1 day agoSide Scrollers Presents: OVERCOCKED
67.3K24 -
15:01
GritsGG
15 hours agoSolo Dubulars! Most Winning Warzone Player Dominates Lobby!
12.1K -
13:12
The Pascal Show
20 hours ago $4.69 earnedTYLER'S ARREST FOOTAGE MISSING?! Local Police Claim Tyler Robinson Arrest Footage Has BEEN DELETED?!
18.2K2 -
LIVE
Lofi Girl
2 years agoSynthwave Radio 🌌 - beats to chill/game to
268 watching -
57:44
TruthStream with Joe and Scott
1 day agoShe's of Love podcast and Joe co-Hosted interview, Mother Claudia and Daughter Juliette: Traveling, Home School, Staying Grounded, Recreating oneself, SolarPunk #514
15.6K1