Premium Only Content
This video is only available to Rumble Premium subscribers. Subscribe to
enjoy exclusive content and ad-free viewing.

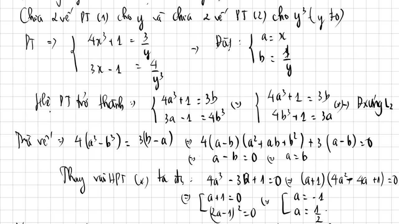
Hệ phương trình đại số - Đưa về hệ đối xứng loại 2
Loading comments...
-
1:35:09
Dear America
2 hours agoDems Cause a Gov SHUTDOWN!! Remember THEY HATE YOU! + Bomb Threat At TPUSA Event!!
73K64 -
LIVE
Badlands Media
9 hours agoBadlands Daily: October 1, 2025
4,102 watching -
LIVE
Matt Kohrs
11 hours agoGov'nt Shutdown: Stocks Whipsaw, Bitcoin Pops & Gold Hits Record || Live Trading
790 watching -
LIVE
Law&Crime
2 hours agoLIVE: Gun-Cleaning Gone Deadly Trial – FL v. Leslie Boileau – Day 1
162 watching -
DVR
House Republicans
1 hour agoHouse Republicans Leadership Stakeout
18 -
LIVE
Wendy Bell Radio
6 hours agoThe Schumer Shutdown
7,634 watching -
1:03:11
Crypto Power Hour
2 hours ago $1.41 earnedWTH Is Peer To Peer CryptoCurrency Trading?
18.6K6 -
1:11:31
JULIE GREEN MINISTRIES
4 hours agoLIVE WITH JULIE
98.4K210 -
35:39
Producer Michael
18 hours agoROLLS-ROYCE SPECTRE TEST DRIVE GOES WRONG!
62.4K12 -
15:42
Nicholas Bowling
16 hours ago $3.25 earnedCharlie’s MURDER Sparks COLLEGE STUDENTS to Boldly Preach the Gospel!
30.2K23