Premium Only Content
Election Integrity Attorney Arrested After Revealing Sensitive Emails By Dominion Voting Systems
Full disclosure, I can neither confirm nor deny anything in this thread but … holy heck, what a thread it is. Now, I realize a lot of us are pretty fried and tired of talking about election fraud and interference, but when I saw this thread, guys, I had to write about it. Oh, and since I know our pals in Big Tech won't like what this thread has to say, I'm putting it behind a VIP wall. I know, it sounds paranoid and we should be able to talk about these things 'out loud,' but that's just not how things are right now. And considering we have countries training their police force to crack down on social media posts? Yeah, don't mind me but I am definitely covering my backside. Yay, Biden. Anyway, take a look at this from Kyle Becker. Note about Kyle, if this hadn't come from him, I'm not sure I would have taken it as seriously as I have. He's not someone to report crazy stuff for clicks and taps.
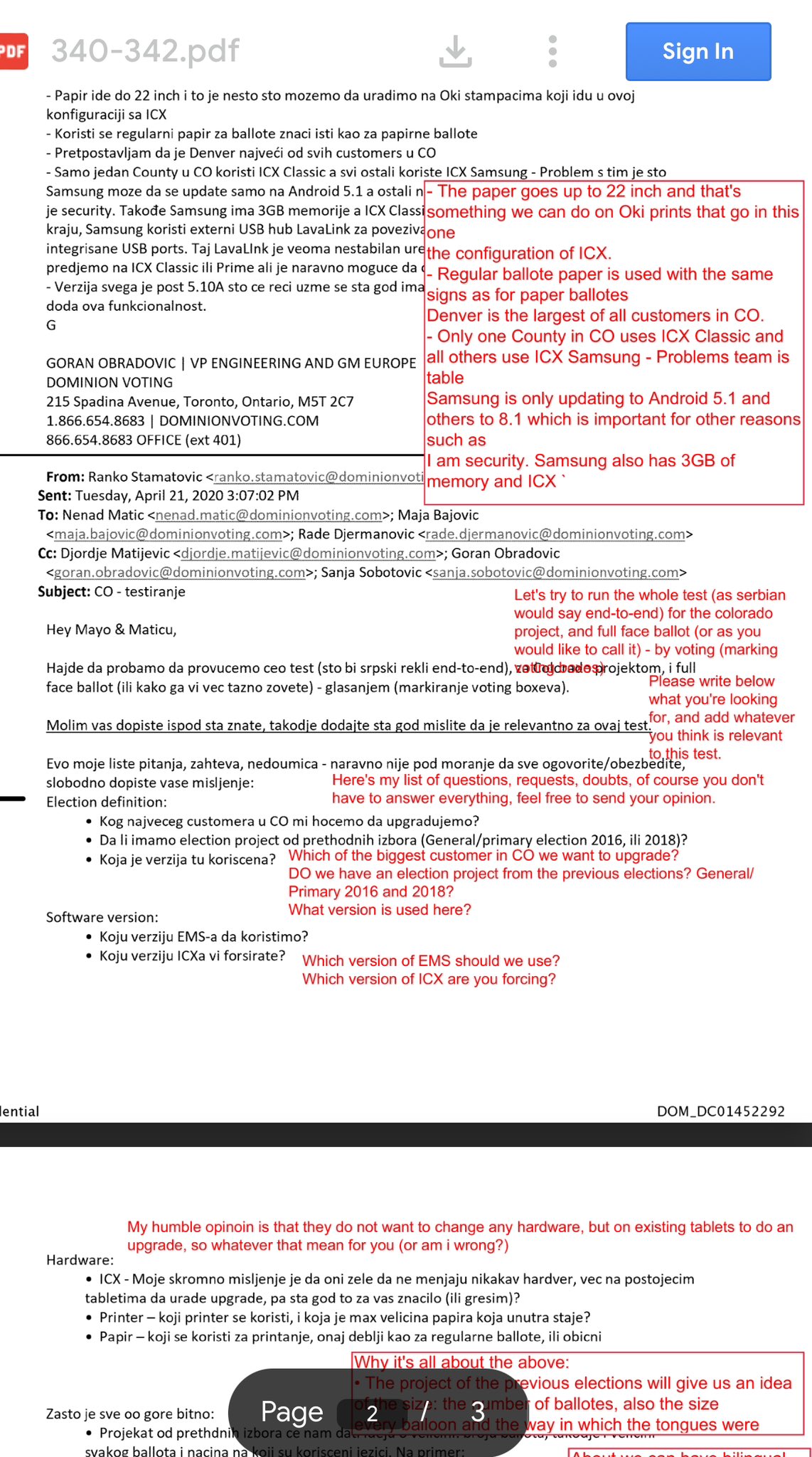
Kyle Becker @kylenabecker: “ELECTION INTEGRITY.🚨 "Nevena, we are seeing logins from your account in Kosovo, can you confirm this is expected?" Dominion Voting Systems officials in U.S. showed concerns about potential hacking of Serbian staffer account prior to 2020 election. Whoa.” https://twitter.com/kylenabecker/status/1769934903653613769 -- Read that again. Dominion Voting Systems officials in the U.S. were concerned about potential hacking long before the 2020 election. Told you. Keep going. -- Kyle Becker @kylenabecker: “"We have two different systems flagging logins from Kosovo, just need to ensure these are really Nevena. If not, I will disable the account." — Jeremy Holck, VP IT & Security, Denver, Colorado.” https://pbs.twimg.com/media/GJAScS9WMAAFeF_?format=jpg&name=large -- *cough cough* -- Kyle Becker @kylenabecker: “Election Integrity Attorney Arrested After Revealing Sensitive Emails by Dominion Voting Systems” -- Wow.
Kyle Becker @kylenabecker: “More Serbia-Dominion emails (lawsuit):” https://www.scribd.com/document/712456784/Michigan-Dominion-Emails#from_embed -- Wow wow. -- Kyle Becker @kylenabecker: “More analysis (technical):” https://pbs.twimg.com/media/GJAO0sEXAAAPStX?format=jpg&name=large -- Wow wow wow. Yes, ladies and gents, the word of the day is 'wow.' -- Kyle Becker @kylenabecker: “Footnote: I can read Serbo-Croatian and can verify the transcript is accurate.” -- This is crazy. -- Kyle Becker @kylenabecker: “Whoa. Serbian contractors were working on a California voting test project. But they mention voter files being posted by the California Secretary of State (!!!)” https://twitter.com/kylenabecker/status/1769937771483767184 -- California. Of course.
Kyle Becker @kylenabecker: “Commentary: I cannot believe that U.S. elections are in the hands of private, non-transparent voting machine companies. It is the most undemocratic thing I have ever seen. We need all paper ballots that are fully auditable and traceable back to actual voters who have voter IDs.” -- Ummm … yikes?
The Politics Brief: Election Integrity Attorney Arrested After Revealing Sensitive Emails by Dominion Voting Systems
https://thepoliticsbrief.com/election-integrity-attorney-arrested-for-revealing-sensitive-emails-from-dominion-voting-systems/
-
7:22
NewsVids
1 day agoTish Hyman Talks About Confronting Man In Women's Locker Room At California Gold's Gym
761 -
19:23
Clintonjaws
23 hours ago $5.61 earnedKaroline Leavitt STOPS Trump's Meeting & Grills Reporters Leaving Them Speechless
27.9K20 -
LIVE
DLDAfterDark
3 hours ago $0.32 earnedYou Keep a GUN Inside Your Draws?? Let's Talk About Your Tactical Undies
191 watching -
7:02:59
DeadMomAlive
7 hours agoFace Paint Satur-SLAY! Fall Pumpkin! #BIRTHDAYMONTH
15.3K3 -
2:10:24
RiftTV
7 hours agoThe Death Rattle Of Con Inc BEGINS | SLIGHTLY OFFENSIVE
34.9K5 -
3:04:43
Mally_Mouse
12 hours ago🌶️ 🥵Spicy BITE Saturday!! 🥵🌶️- Let's Play: Shift Happens
70.2K2 -
LIVE
TinyPandaface
1 day agoYour FACE is a Gaming Channel! | Homebody - Part 4
44 watching -
2:56:32
Welcome to The Continental
4 hours ago🟩 ARC and Raiders 🐔
3.25K2 -
2:52:09
NewsTreason
4 hours agoDECLAS w/ Rambo & Dave: The Nuclear Option End Game | Future Proves Past: Subpoenas Fly, 8pm EST
50.5K50 -
40:06
Tundra Tactical
6 hours ago $1.58 earned🛑LIVE NOW!! Honest Gun Company Slogans Gun Mad Libs and Much More
2.99K2