Premium Only Content

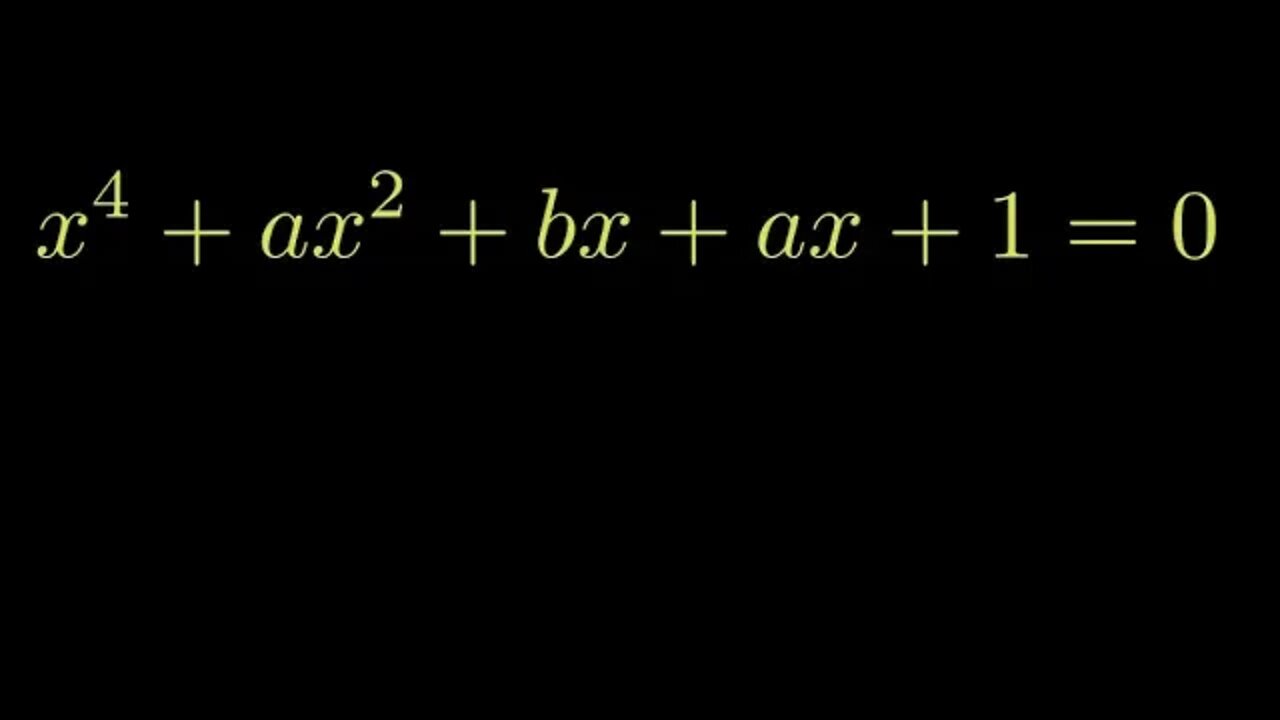
Special quartic equation and cos72
Special quartic equation and cos72
More interesting questions:
https://www.youtube.com/playlist?list=PLg9w7tItBlZsC-FFxBJxFg3dkCFGUqXIR
Instagram account: https://www.instagram.com/mathphyen/
Subscribe to my channel
more video lists:
################
Probability and discrete mathematics:
######################################################################
Probability interview questions:
https://www.youtube.com/watch?v=qphhG_1rWf8&list=PLg9w7tItBlZtI1eM6znSYfyDEaqQtUx5b
Probability theory:
https://www.youtube.com/watch?v=8s-nyRLBsDo&list=PLg9w7tItBlZsvciKHBx8lXXnCtQ7Ou4cV
Complex analysis:
https://www.youtube.com/playlist?list=PLg9w7tItBlZsYfYG6dUISItqsSRSXaX4B
Combinatorics:
https://www.youtube.com/playlist?list=PLg9w7tItBlZvQt0YNfCqcULzrPme2ai7K
additive combinatorics:
https://www.youtube.com/playlist?list=PLg9w7tItBlZseUrmXgf_2yc2NI_obVUhB
Calculus and advanced mathematics (abstract algebra):
######################################################################
Real analysis
https://www.youtube.com/playlist?list=PLg9w7tItBlZumEJ4DacAKgstCvDHKtY63
Reduction formula in Calculus:
https://www.youtube.com/playlist?list=PLg9w7tItBlZubmhgkHoHvje1uOASnkcke
Integrals of trigonometric functions:
https://www.youtube.com/playlist?list=PLg9w7tItBlZuwEER2YvFV06ri6i1Cj3hh
(algebraic geometry)
https://www.youtube.com/playlist?list=PLg9w7tItBlZssQ4Smzgp_bk2rEszKaW0B
Linear algebra Proof:
https://www.youtube.com/playlist?list=PLg9w7tItBlZueH6LMeYzzwPMUlIaRhCZo
Ring theory:
https://www.youtube.com/playlist?list=PLg9w7tItBlZs9w4wrNAuv4oJdrt-sIWUP
Abstract Algebra:
https://www.youtube.com/playlist?list=PLg9w7tItBlZsyZ0Ri0IDPYEwDxDXjCqB0
Group theory:
https://www.youtube.com/playlist?list=PLg9w7tItBlZu4Qkxz2WSk4eYZmDAC8ZY0
Galois theory:
https://www.youtube.com/playlist?list=PLg9w7tItBlZsepuNJ3tOnG238M03KrKaG
number theory and others:
###########
Riemann Zeta functions:
https://www.youtube.com/playlist?list=PLg9w7tItBlZu4ncqL53iPd1GmwKq8yYoM
Math related to pi:
https://www.youtube.com/playlist?list=PLg9w7tItBlZuzFft3Y5h1LRaNvAv7ruKe
Number theory:
https://www.youtube.com/playlist?list=PLg9w7tItBlZvGgPYrFxfGWaQgQBrLOOws
Set Theory:
https://www.youtube.com/playlist?list=PLg9w7tItBlZsDqBUL-CIHcVVBs9EODL_J
High school math & AP calculus:
https://www.youtube.com/playlist?list=PLg9w7tItBlZv165XaBIyj03q3WSMMUqDo
Solving polynomial equation:
https://www.youtube.com/playlist?list=PLg9w7tItBlZsheN8dz8LLPy99AaLb7_-7
Engineering Mathematics:
###########
Laplace transformation:
https://www.youtube.com/playlist?list=PLg9w7tItBlZty21VgNOrLTKg3BM1sFmFE
differential equation:
https://www.youtube.com/playlist?list=PLg9w7tItBlZukQ1yQXKXPo4ZN2yMHwvf1
0xab3acdec0919be9d429baf2190de2e2a4a384c7e
Legendre polynomial:
https://www.youtube.com/playlist?list=PLg9w7tItBlZvG3Ju8YUxEct1tawePe_ZA
Complex analysis:
https://www.youtube.com/playlist?list=PLg9w7tItBlZsYfYG6dUISItqsSRSXaX4B
Gamma Function:
https://www.youtube.com/playlist?list=PLg9w7tItBlZvKhQHLzaULPNtZH7mYNIf9
Theoretical Physics:
################################
Quantum Mechanics:
https://www.youtube.com/playlist?list=PLg9w7tItBlZuP5Wv2jMbeTd7uc9ZXYS6m
Quantum Field Theory:
https://www.youtube.com/playlist?list=PLg9w7tItBlZvvsWqUz6uR85ktsrcv5Y4r
Electrodynamics:
https://www.youtube.com/playlist?list=PLg9w7tItBlZu6oIdAtRaT-Wtjkg3_dJcQ
Quantum Information:
https://www.youtube.com/playlist?list=PLg9w7tItBlZs2JgNL6qxtPSlnWAFkqoJG
Quantum Algorithms:
https://www.youtube.com/playlist?list=PLg9w7tItBlZvyCUpJAskKqpeLkKhrtQio
-
40:24
The Connect: With Johnny Mitchell
1 day ago $1.51 earnedInside The WORST Drug-Infested Slums Of Medellin, Colombia
8.36K4 -
1:43:56
Tundra Tactical
5 hours ago $3.23 earned🛑LIVE NOW!! FBI Gets Caught LYING About Good Guys With Guns For 10 YEARS!!!!
22.9K1 -
DVR
BlackDiamondGunsandGear
2 days agoAFTER HOURS ARMORY / Antifa / Lies/ Prison time
11.8K1 -
DVR
DLDAfterDark
4 hours ago $1.35 earnedThe After Hours Armory! Tonight is The Chat's Chat! God, Guns, and Gear!
15.9K -
3:32:18
Mally_Mouse
7 hours ago🌶️ 🥵Spicy BITE Saturday!! 🥵🌶️- Let's Play: Phasmophobia
33.9K2 -
1:13:19
iCkEdMeL
3 hours ago $7.34 earnedChaos Explodes in Chicago & Portland | Feds Clash with Protesters!
26.7K5 -
21:54
Exploring With Nug
1 day ago $7.53 earnedScuba Diving Missing Person Search Leads to Discovery of Classic Cars!
49.5K8 -
LIVE
Phyxicx
8 hours agoStar Wars: Movie Battles II Community Event hosted by ReaperAF95 - 10/4/2025
124 watching -
1:19:51
World2Briggs
6 hours ago $2.14 earnedThe US This Week
29.2K2 -
2:31:13
Joker Effect
3 hours ago"MAKE STREAMING GREAT AGAIN" - Brands Step Up Finally. Birth of Rumble Community. Taking Leadership
16.6K1